毕业论文
2021-12-28 180
2. 软件需求分析
软件需求分析是开发的第一个阶段,也是软件开发周期中的一个非常重要的阶段,根本任务是确定用户对软件系统的需求。它是项目开发的基础,它确定软件系统做什么,具有什么功能性能,有什么约束条件等。在软件的需求分析阶段所得到的结果在后期的软件开发的过程中是十分重要的,经过严格评审并得到用户确认是必须经过的。
2.1 需求分析
需求分析是系统开发的首要步骤,直接影响系统整体性能和功能的最主要的步骤。系统的需求分析最重要的是对系统的可行性、性能和功能等方面进行具体地分析。不合理的需求分析,会使系统的开发环节出现许多错误和走许多弯路,导致系统开发时间长,效率低,系统质量受到影响[8]。
2.1.1 用例图
仓库管理系统分为系统管理员和客户等不同种类的用户角色。在本系统的整个的用例功能模块包括管理员管理、用户管理等模块,管理员模块的主要功能包括查看库存信息,修改信息,用户管理,产品入库,产品出库等功能,
2.1.2 类图
仓库管理系统中有管理员、客户、还有货物三大类。如图2-3所示为仓库管理系统的三大类之间的类图关系。
2.2 功能需求分析
1、登录验证功能:为了保证仓库管理系统信息的安全性,进入系统时需要对用户身份进行验证,如果验证无误可成功进入系统,如果用户名或者密码不正确将返回错误提示要求重新输入。
2、管理员管理功能:此功能属于系统的管理员功能,他实现了对所有用户的管理操作,可以添加一个新的用户,也可以对已经添加的业务员进行删除的操作。
3、用户的查询功能模块:此项功能属客户管理员功能,用户可以根据条件查询客户信息,也可以对客户信息进行修改。
4、仓库存储的查询管理功能:此功能属系统管理员与客户共有的功能,客户可以实现查看、入库以及出库等功能,两者都可以查看库存信息。
5、用户的信息管理模块:此项功能属于用户管理员的功能,业务员可以对自己的客户信息进行管理与修改。
2.3 业务流程分析
仓库管理系统主要分为两大用户功能,两种功能所实现的功能流程如下所示。
2.3.1 管理员模块业务流程
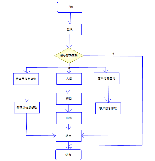
仓库的管理员可以通过帐号和密码验证之后进行登录,登录到系统之后主要的功能是对商品与用户的信息进行管理,主要流程如图 2-4 所示。
2.3.2 客户模块业务流程分析
管理员可以通过帐号和密码进行登录,登录后的主要功能是对用户与品信息的管理,主要的功能包括查看用户信息、修改用户信息、对库存商品进行查看等。主要业务流程图如图 2-5 所示。
2.4 数据流程分析
基于对业务流程的分析,对数据流分析。
2.4.1 顶层数据流
现行的顶层数据流图如图2-6所示。
2.4.2 一层数据流图
具体分析第一层数据流图,包括有商品的管理、用户信息的管理。商品管理,主要包括用户对产品的入库操作、查询操作、出库操作等一系列的处理以及管理员对产品的管理。用户管理,管理员能对用户的信息来操作。详细流程图如图2-7所示。
图2-7 一层数据流程图
2.4.3 二层数据流图
具体分析第二层数据流图,包括的功能信息有用户注册、用户登录,产品入库,产品查询,产品出库等功能。
用户注册模块数据流图如图2-8所示:

图2-8 用户注册功能的数据流图
用户登录功能的数据流图如图2-9所示:

图2-9 用户登录功能模块的数据流图
商品入库功能模块的数据流图如图2-10所示:

图2-10 商品入库模块
如图2-11所示为商品查询功能模块的数据流图:

图2-11 商品查询模块
如图2-12所示为商品出库模块的数据流图:

图2-12 商品入库模块
2.5 数据字典分析
2.5.1 数据存储条目
文件名:用户信息表
组成:本次刚刚注册用户 + 之前注册过的用户
组织方式:索引类型的文件,以用户名为索引
文件名:商品库存表
组成:本次新入库商品+以前入库商品
组织方式:索引文件,以商品编号为索引
2.5.2 加工条目
加工名:商品存储处理
编号:无
输入:商品信息
输出:库存信息表
加工名:商品入库处理
编号:无
输入:商品信息
输出:库存信息表
加工名:商品出库
编号:无
输入:商品信息
输出:库存信息表
加工名:用户信息存储
编号:无
输入:用户信息
输出:用户信息表
加工名:用户查询处理
编号:无
输入:用户名
输出:用户信息表
加工名:用户信息验证
编号:1.1
输入:用户信息
输出:用户信息表
加工名:验证用户是否存在
编号:1.2
输入:用户名
输出:用户信息表
加工名:录入用户信息
编号:1.3
输入:用户信息
输出:用户信息表
加工名:登陆系统时的信息验证
编号:2.1
输入:用户名、密码
输出:用户信息表
加工名:个人信息查询
编号:2.2
输入:用户名
输出:用户信息表
加工名:审查商品信息
编号:3.1
输入:商品名称
输出:商品信息表
加工名:验证是否为新商品
编号:3.2
输入:商品名称
输出:库存信息表
加工名:录入商品
编号:3.3
输入:商品信息
输出:库存信息表
加工名:查询商品
编号:4.2
输入:商品名称
输出:库存信息表
-------
5.1 登录模块
在本次的仓库管理系统中有两个不同的入口。仓库管理人员使用用户名和密码之后可以对应有相应的操作。用户的登录所需的用户名和密码已经在之前的用户信息表中建立,用户的个人信息由管理员提前录入或者自己注册。由于用户信息需要先从所对应的数据库中进行读取,所以在读取之前需要先于数据库进行连接。在本系统当中,有两个登陆模块的入口。如下图所示确认文件审核用户提供的用户名和密码。
管理员登录图片如下:
5.2 入库模块
商品入库模块这是系统设计得最好最完善的模块之一。系统提供两种入库方式可供选择一次是录入库存中已经录入的商品,或者录入库存中没有录入的商品
,另外添加新商品。录入已存在商品方式时,可自由选择录入某种商品。己录入的商品的信息会在相应的信息的框中显示出来。在此模块的编程中,使用了非常多的编程技巧来提供上述功能做到了与完美的配合。此种方式便于管理员掌握相应商品的情况。按商品名查询可以在选定撒谎能够品后,查询某一次或多次商品信息。
当有新的商品进入仓库中时,仓库管理人员需点击入库界面的“添加新商品”选项。在对现有的商品进行入库操作时,商品的信息都是重新输入的。当将新入库的商品的信息填写完毕之后,系统会自己将新入库的一些商品的信息添加到管理商品信息的数据表“goods”中。
添加新商品模块如图5-3所示:
5.3 出库模块
商品出库模块这是系统设计得最好最完善的模块之一。系统提供出库方式是在库存表中已经储存有商品基础上才能可以出库的。若是在库存中商品品的数量小于所要出库的输了时,系统会显示出库存数量不足。在进行出库的操作过程时,若是出库的商品在库存中的数量小于0时,系统会报出出库商品出错。此时都不可以正常出库。在正常出库之后,库存中商品的数量会发生改变。
5.4 用户注册模块
在用户需要访问此系统时,用户需要在登录框中输入相应的信息,然后系统在后台服务器中与数据库进行匹配。所以在进入系统之前需要进行帐号密码的注册,在注册的过程中需要输入输入用户名、密码、姓名、性别、年龄、联系方式、email、联系地址等一系列信息,系统将其提交至服务器端。服务器端处理程序时,服务器会获取到系统提交的内容,然后系统会将获取的信息与数据库中所存储的表格中的信息进行对比,得出相应的结果。若是输入的用户名是在数据库的库存中已经存在的,系统会终止注册,然后系统会提示用户名已经被使用,请重新注册的提示。如果在进行继续注册的过程中出现某一项信息没有填写时,系统会发出此项信息没有填写请重新填写的提示。在进行email注册时,若输入的格式与系统定义的格式不匹配的情况下,系统会作出相应的警告在重新注册。若注册的信息不满足要求时,可以将信息清空再重新注册。
5.5 个人信息管理模块
当管理员或用户进入到主界面之后,管理员可以选择信息管理选项,会进入到用户信息的管理模块。管理员或者用户在系统中具有两项功能,第一项功能是可以对管理员或用户的个人信息进行一些列的操作。在此界面上面可以查询到用户全部的个人信息。第二项功能是能够管理全部的用户的信息。在进入信息管理模块对个人的信息可以进行查看,可以修改自己的信息。在点击修改之后会完成所对应的个人信息。
在这个模块当中,管理员可以对所有的信息进行修改,所有的用户的信息也可以被查询到。在客户的需求之下,管理员可以随意的进入到某一位客户的信息界面之下,可以对所有的信息进行管理。修改之后用户可使用最新一次更新的信息进行登录,进入主界面之后可以更新自己信息。
--------
6. 系统的测试
系统测试是软件设计过程中最后的一部分,也是非常重要的一步。用于检查软件的质量、性能、可靠性等是否符合用户需求。一套严谨的、规范的、完善的测试过程将大大提高软件的质量、可信度、可靠性,降低软件的出错率,降低用户风险系数。
软件测试就是用户希望能够通过软件测试寻找出软件当中的一些错误,以考虑该产品能不能被广大的用户所接受。而软件测试者则是替用户受过。而今,人们已认识到,用户能够得到最为满意的产品是软件测试的最终的目的,尽可能多的发现系统的问题并改正,然后交给客户使用。
在测试的过程中主要需要实现一下几点要求:
1)要完成并实现在前期承诺所需要实现的功能,并且在系统中的每一项功能都需要有说明书。
2)所做出来的产品的性能要得到满足。
3)产品应该能够适应所有的用户的环境。
总之,软件测试的最终的目标是希望能够找出系统中所存在的一些不足与缺陷,而且要求与软件需求阶段所提出的要求相匹配。要注意的是:软件的测试并不能说明软件中没有错误,只能发现并尽可能的减少错误。
--------